ГИА по математике для 9-м классе


   Тест предназначен для подготовки к проведения государственной (итоговой) аттестации (ГИА). Он поможет вам получить представление о содержании и формулировках заданий, оценить свои знания и уровень подготовки, научиться решать отдельные типы вопросов.

   Все задания разработаны группой экспертов и соответствуют требованиям Министерства образования и науки Российской Федерации.

 

 


9 класс - Математика - Школьные тесты
1. Вычислите


2. Какое из перечисленных неравенств следует из неравенства a





3. Найдите значение выражения 2√22⋅ √33⋅ √6.


4. Найдите корень уравнения 4x2−12x+9=0.


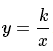
5. На рисунке изображен график функции Найдите значение k.




6. Последовательность задана соотношениями b1= bn+1=2bn+1. Найдите b4


7. Сократите дробь





8. На каком рисунке изображено решение неравенства 3−5x≥x+10?





9. Про углы на рисунке известно, что ∠1=40°, ∠2=20∘, ∠3=30∘. Найдите ∠4. Ответ дайте в градусах.



10. Найдите угол правильного пятнадцатиугольника. Ответ дайте в градусах.


11. Найдите площадь треугольника со сторонами 4, 5 и √41.


12. Найдите тангенс угла наклона прямой, изображенной на рисунке, к положительному направлению оси абсцисс.




13. Выберите все верные утверждения.




14. Самое быстрое животное на Земле — сокол-сапсан, его скорость достигает 322 км/ч, самое быстрое наземное животное — гепард, его максимальная скорость равна 115 км/ч. На сколько максимальная скорость сокола больше максимальной скорости гепарда? Дайте ответ в метрах в секунду.


15. Для определения оптимальной скорости поступления свежего воздуха через вентиляционную систему были проведены исследования. На рисунке приведен статистически подтвержденный график зависимости между количеством неудовлетворенных качеством воздуха людей (в процентах от общего количества) от удельного расхода воздуха на одного человека в литрах в секунду.

Определите по графику, какая должна быть минимальная скорость подачи свежего воздуха, чтобы количество неудовлетворенных качеством воздуха людей было не более 40 процентов. Ответ дайте в литрах в секунду.



16. Маша составила летний график полива кактуса: каждый седьмой день (7 июня, 14 июня и т.д.) — 20 мл воды и дополнительно каждый 14-й день (14 июня, 28 июня и т.д.) — еще 10 мл. Сколько миллилитров воды уйдет на поливку кактуса за три летних месяца?


17. Высота Эйфелевой башни равна 324 м, а ширина основания 140 м. Школьник хочет изготовить пропорциональный макет башни высотой 90 см. Какова будет ширина основания макета? Ответ дайте в сантиметрах и округлите до целого числа.



18. Сельскохозяйственное предприятие выращивает на продажу арбузы, тыквы и бобовые культуры. На диаграммах приведена структура засева пахотных земель в 2013 году и план на 2014 год.



Посадки какой сельскохозяйственной культуры планируется в 2014 году уменьшить по сравнению с 2013 годом, если изменение общей площади пашни не планируется?





19. Учитель истории произвольно выбирает для Степана один год из XX века для домашнего доклада по истории России. Какова вероятность того, что Степану достанется год из истории СССР (с 1922 по 1991)?


20. Для оценки доклада школьника используются три параметра: C — содержание доклада, D — оформление доклада и P — презентация доклада. Каждый параметр оценивается по пятибалльной системе и общая оценка R вычисляется по формуле , а затем округляется до целой оценки по правилам округления.

Какую оценку за доклад получил Петр, если содержание и презентация его доклада были оценены на 3, а оформление на 5?